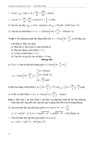
Công Phá Bài Tập Vật Lí Dao Động Cơ (Tập 1)
Với kinh nghiệm nhiều năm trong ôn luyện ở các kì thi Đại học – Cao đẳng, kì thi THPT quốc gia, chúng tôi thấu hiểu được các em học sinh và bạn đọc mong muốn gì ở một cuốn sách luyện thi.
Phần lớn các em học sinh và bạn đọc đều mong muốn bộ sách hội tụ đầy đủ các yếu tố:
Hệ thống lý thuyết Phương pháp giải bài tập Đầy đủ các dạng bài tập đã và sẽ thi Giải chi tiết tất cả các bài tập Có nhận xét và lưu ý sau mỗi bài giảiXuất phát từ thực tế và nhu cầu đó, với kinh nghiệm và tâm huyết sư phạm đã đúc kết được sau nhiều năm giảng dạy chúng tôi quyết định biên soạn bộ sách “CÔNG PHÁ BÀI TẬP VẬT LÍ – DAO ĐỘNG CƠ: TẬP 1” gồm 2 chủ đề:
Chủ đề 1: Đại cương về dao động điều hòa Chủ đề 2: Bài toán liên quan đến con lắc lò xoSách được trình bày từ cơ bản đến nâng cao, các bài tập được phân dạng, phân loại rõ ràng theo trình tự từ dễ đến khó, bài trước là tiền đề cho bài sau. Các bài tập trong sách đều được trích lọc, tuyển chọn từ sách giáo khoa, sách bài tập, đề thi TN, CĐ, ĐH, THPT quốc gia, đề thi thử của các trường, các sở trên toàn quốc trong các năm vừa qua... Trong sách này, các bài tập nâng cao và khó được đánh dấu sao (*) là những câu điểm 8, 9, 10 dành cho học sinh khá, giỏi.





















