Định Hướng Phát Triển Năng Lực Toán 8 - Tập 2 (Bám Sát SGK Kết Nối Tri Thức Với Cuộc Sống)
Cuốn sách “Định hướng phát triển năng lực Toán 8 – Tập một” bám sát sách giáo khoa Toán lớp 8 – Tập một, bộ sách giáo khoa Kết nối tri thức với cuộc sống, nhằm giúp các em học sinh lớp 8 có một tài liệu để học tốt môn Toán lớp 8.
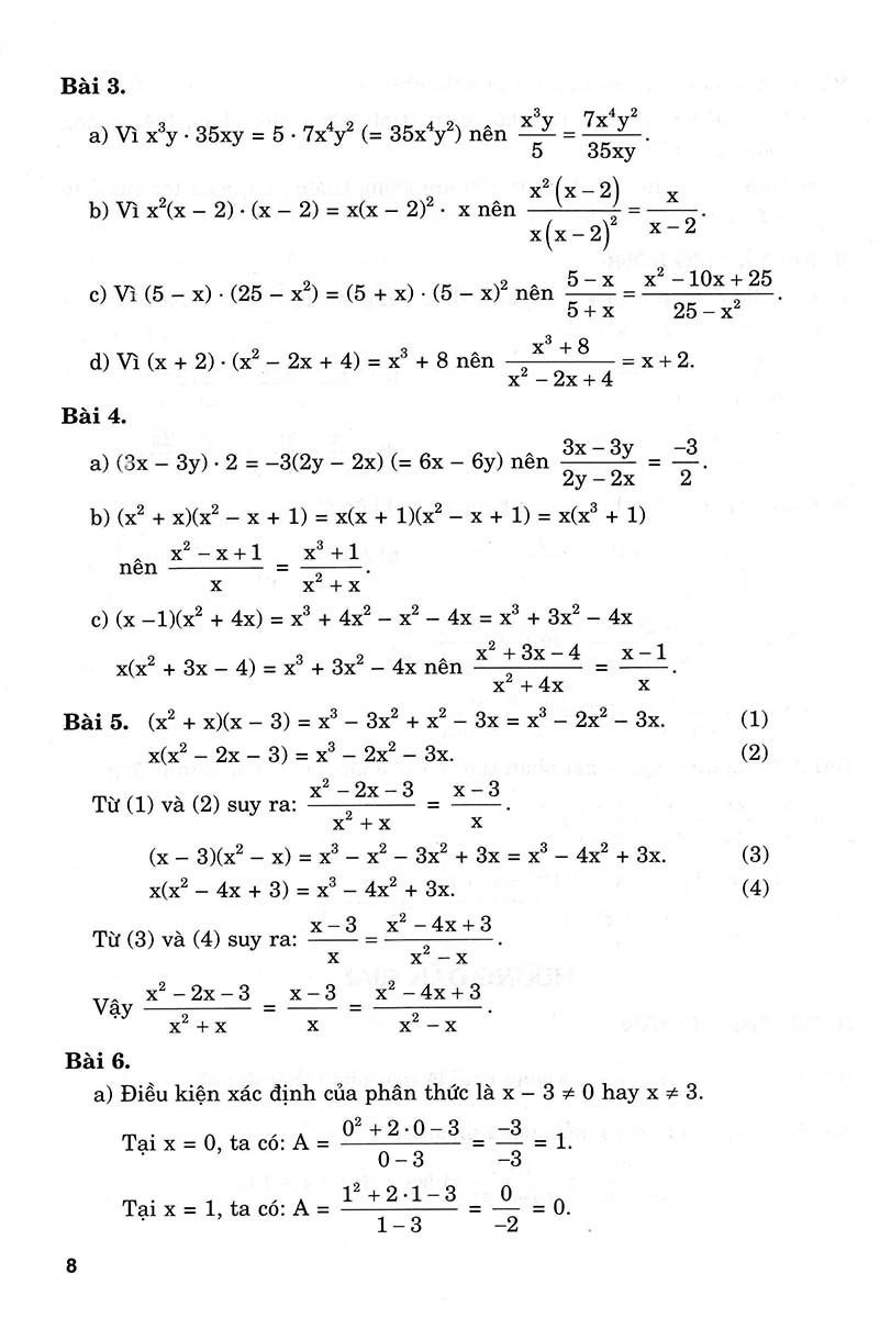
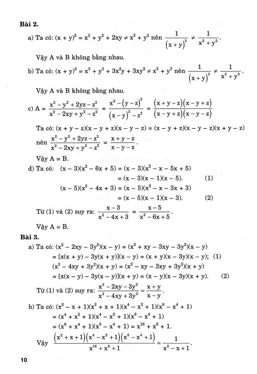
Mỗi bài học được thiết kế bao gồm phần tóm tắt kiến thức cần nhớ, bài tập cơ bản và bài tập mở rộng. Cuối mỗi bài là hướng dẫn giải cho các bài tập cơ bản và bài tập mở rộng. Việc tự giải các bài toán theo cấu trúc này sẽ giúp các em học sinh phát triển năng lực tư duy Toán học.


















