Khám Phá Toán 11 - Để Học Giỏi - Tập 2 (Kết Nối)
Nối tiếp bộ sách Khám phá Toán 10 để học giỏi gồm 3 phiên bản tương ứng cho 3 bộ sách giáo khoa Chân trời sáng tạo, Kết nối tri thức với cuộc sống và Cánh diều, chúng tôi biên soạn bộ sách Khám phá Toán 11 để học giỏi dành cho các bạn học sinh bắt đầu học lớp 11 theo chương trình mới.
Theo chương trình mới, các bạn tiếp cận Toán học với những nội dung gần gũi hơn với cuộc sống và giảm nhẹ các yếu tố hàn lâm. Các bạn cũng được định hướng để phát triển năng lực toán học với 5 thành tố: năng lực tư duy và lập luận toán học, năng lực mô hình hoá toán học, năng lực giải quyết vấn đề toán học, năng lực giao tiếp toán học và năng lực sử dụng công cụ và phương tiện học toán. Do đó, ngoài nội dung chính học theo chương, bài, các bạn còn được học các chuyên đề và các hoạt động thực hành trải nghiệm. Bên cạnh sự thay đổi chương trình, các bạn cũng có cơ hội tiếp cận nhiều hơn một bộ sách giáo khoa. Những bộ sách giáo khoa này có thể có tiến trình các bài học với thứ tự khác nhau nhưng vẫn đảm bảo đầy đủ nội dung của chương trình môn Toán theo quy định.
Ưu Điểm Của Cuốn Sách
1. Tổng Hợp Lý Thuyết Và Bài Giảng Dễ Hiểu
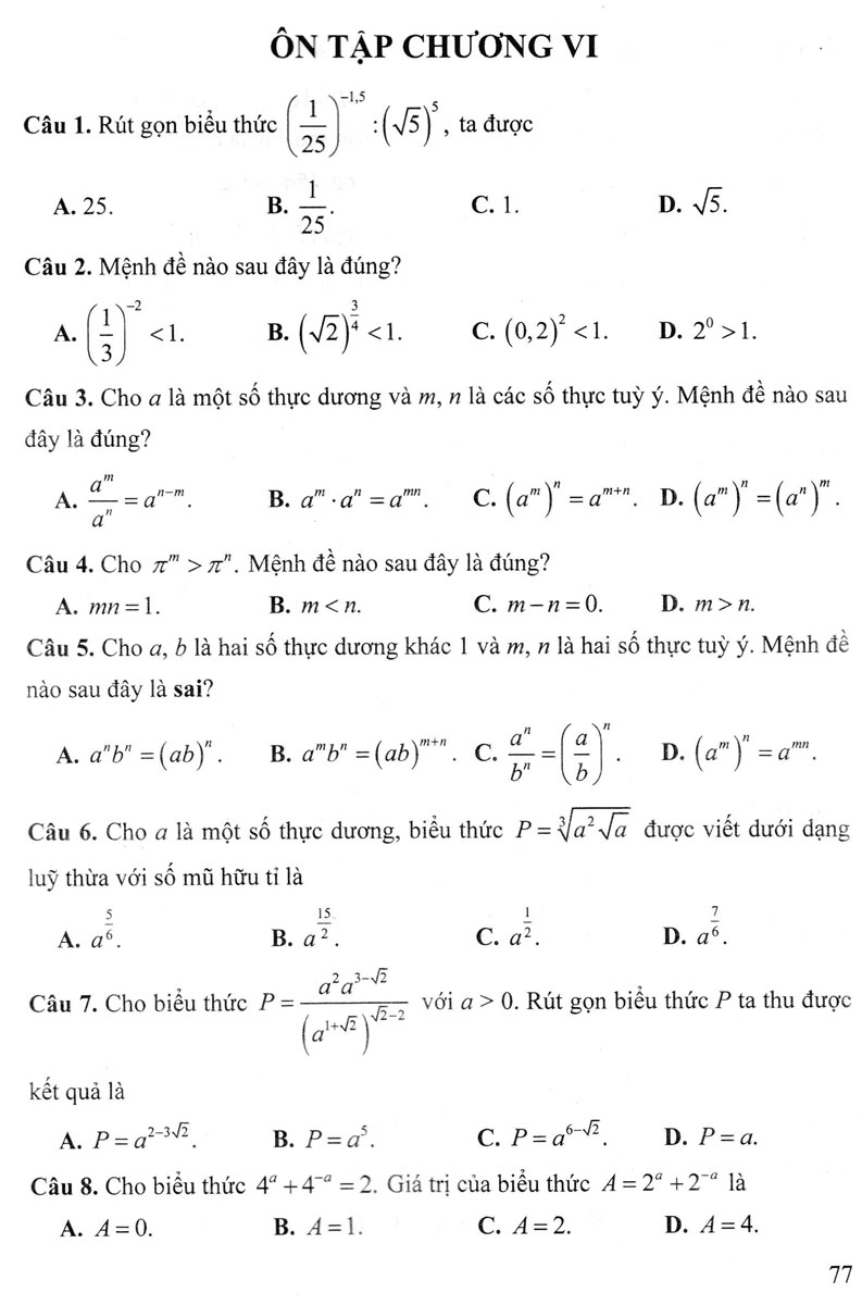
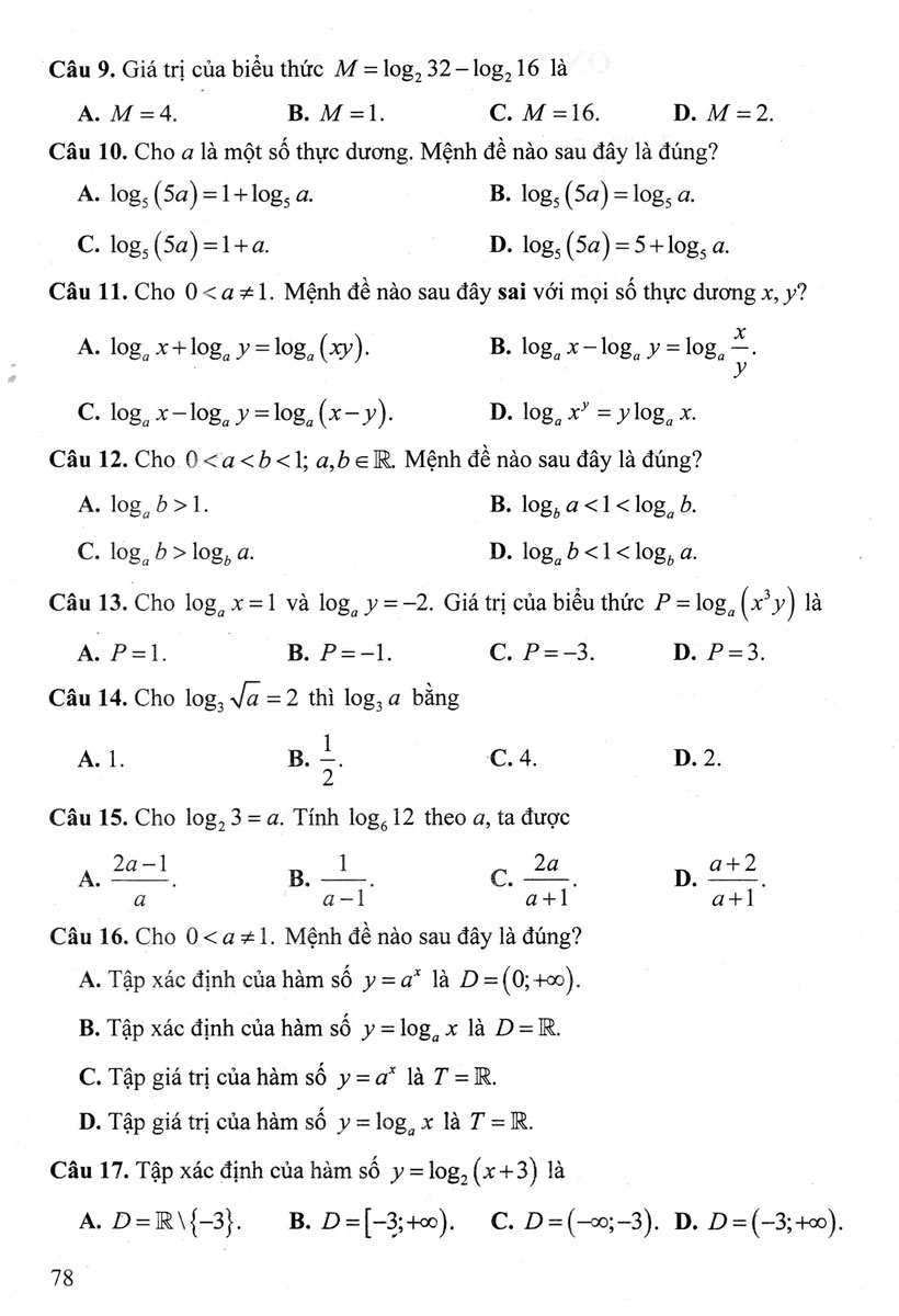
2. Các câu trắc nghiệm ôn tập chương giúp học sinh nắm vững kiến thức
Bộ sách Khám phá Toán 11 để học giỏi được biên soạn gồm 2 tập bám sát 2 tập của sách giáo khoa. Riêng tập 2 có thêm hai chuyên đề. Với những bạn học sinh đang học theo các bộ sách còn lại đều có thể sử dụng bộ sách này nhưng với thứ tự bài học có đôi chút thay đổi. Trong trường hợp đó, các bạn hãy xem Mục lục để tìm nội dung mà mình cần tìm hiểu nhé.
Cấu trúc bài học trong bộ sách này được xây dựng nhằm mục đích giúp cho các bạn có thể tự học. Vì vậy, chúng tôi chú trọng việc truyền tải lí thuyết bằng ngôn ngữ dễ hiểu, có liên kết với các nội dung các bạn đã học, đồng thời định hướng các dạng bài tập hoặc câu hỏi trọng tâm theo hướng phát triển tư duy.


















