Phân Loại Và Giải Chi Tiết Các Dạng Bài Tập Toán 8 - Tập 2 (Bám Sát SGK Kết Nối Tri Thức Với Cuộc Sống)
Cuốn sách được biên soạn theo từng tiết và từng chương của sách giáo khoa. Nội dung của mỗi tiết học là một định nghĩa, các công thức toán học, các định lí mà mỗi học sinh cần nhớ, đồng thời phải biết vận dụng các kiến thức để làm bài tập.
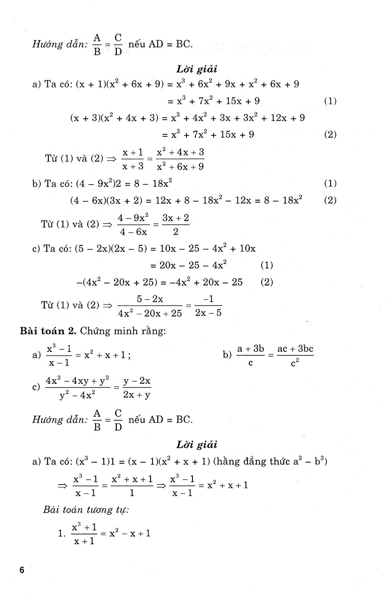
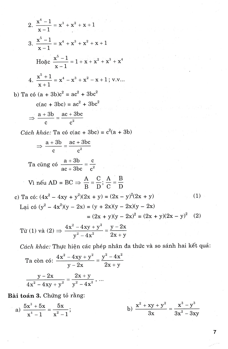
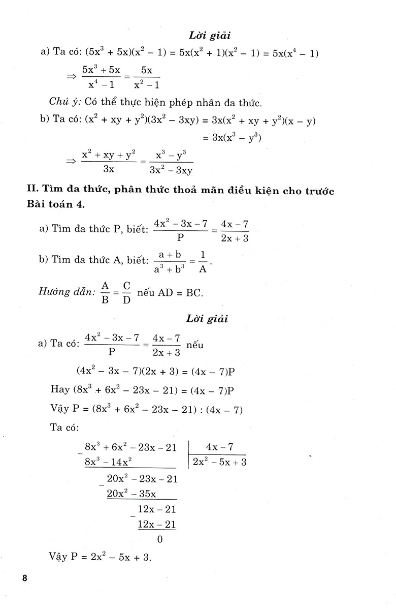
Các bài tập đều được sắp xếp từ dễ đến khó, từ bài toán cơ bản đến các bài toán nâng cao.
Cuốn sách được biên soạn dành cho các cho địa đa số các em học sinh, nhưng còn có khoảng 30% số bài tập để các em khá, giỏi và những em học sinh muốn nâng cao kiến thức của mình. Ngoài việc phục vụ cho các em học sinh lớp 8, cuốn sách còn có thể là tài liệu hữ ích cho các thầy cô giáo và các bậc phụ huynh giúp con em học tập Toán tốt hơn.

















