Bồi Dưỡng Học Sinh Giỏi Khoa Học Tự Nhiên 9
Sách bao gồm những nội dung kiến thức lí thuyết và bài tập từ cơ bản đến nâng cao được trình bày trong mỗi bài của từng chủ đề. Trong mỗi bài được trình bày theo ba phần:
A. KIẾN THỨC TRỌNG TÂM: Là các kiến thức lí thuyết từ cơ bản đến nâng cao nhằm củng cố kiến thức trọng tâm và giúp học sinh có thể ôn thi học sinh giỏi.
B. CÂU HỎI PHÁT TRIỂN NĂNG LỰC: Là phần câu hỏi giúp học sinh phát triển tư duy về nội dung bài học một cách tổng quát và vận dụng kiến thức đã học để giải quyết các câu hỏi thực tiễn.
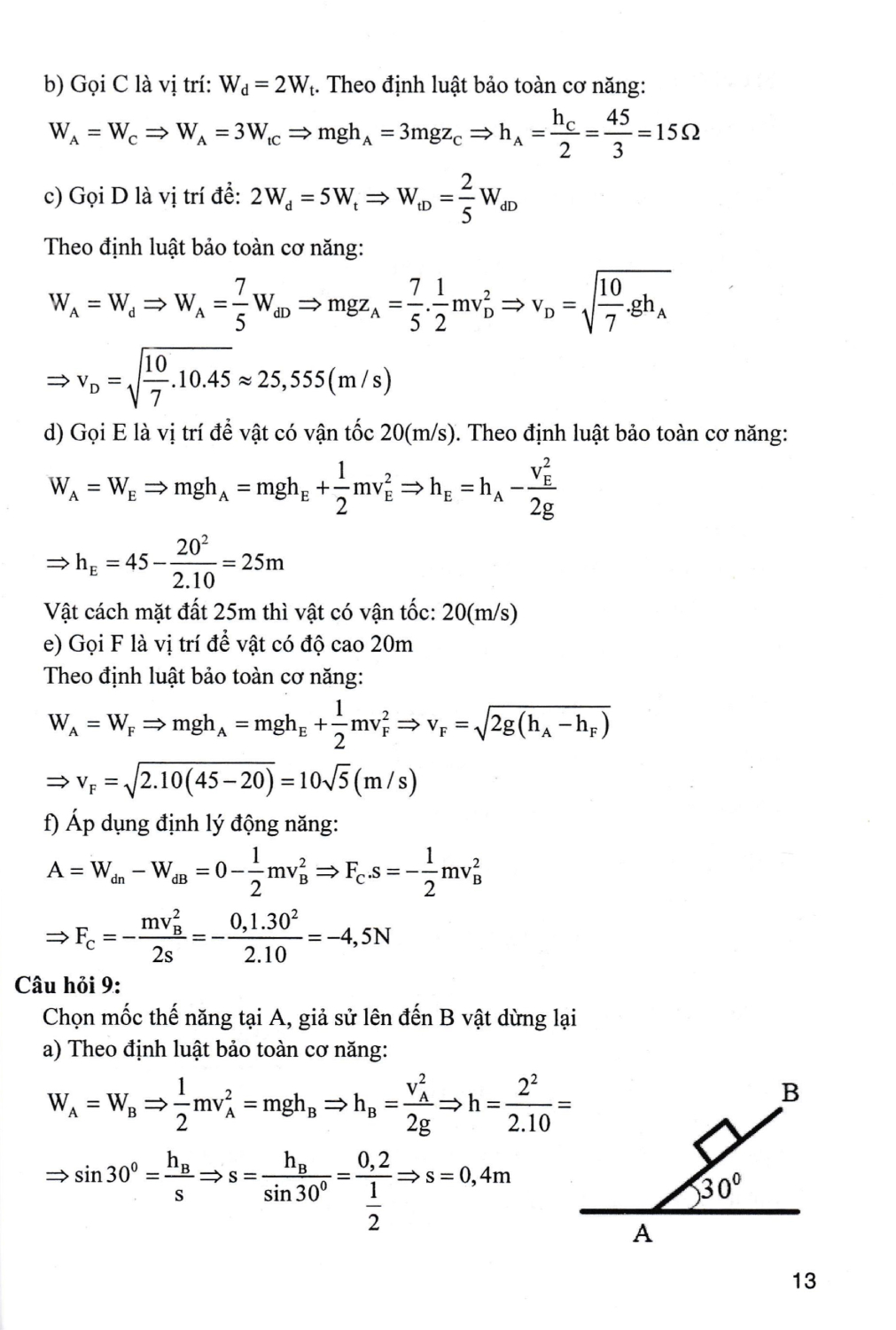
C. HƯỚNG DẪN TRẢ LỜI: Là phần giúp bạn đọc tự kiểm tra và đánh giá. Nhóm tác giả tin tưởng rằng cuốn sách vừa là nguồn tài liệu hữu ích và thiết thực cho học sinh và giáo viên giảng dạy môn Khoa học tự nhiên, vừa là tài liệu quý cho giáo viên tham khảo sử dụng trong công tác bồi dưỡng học sinh giỏi và ôn thi vào các trường chuyên.
















