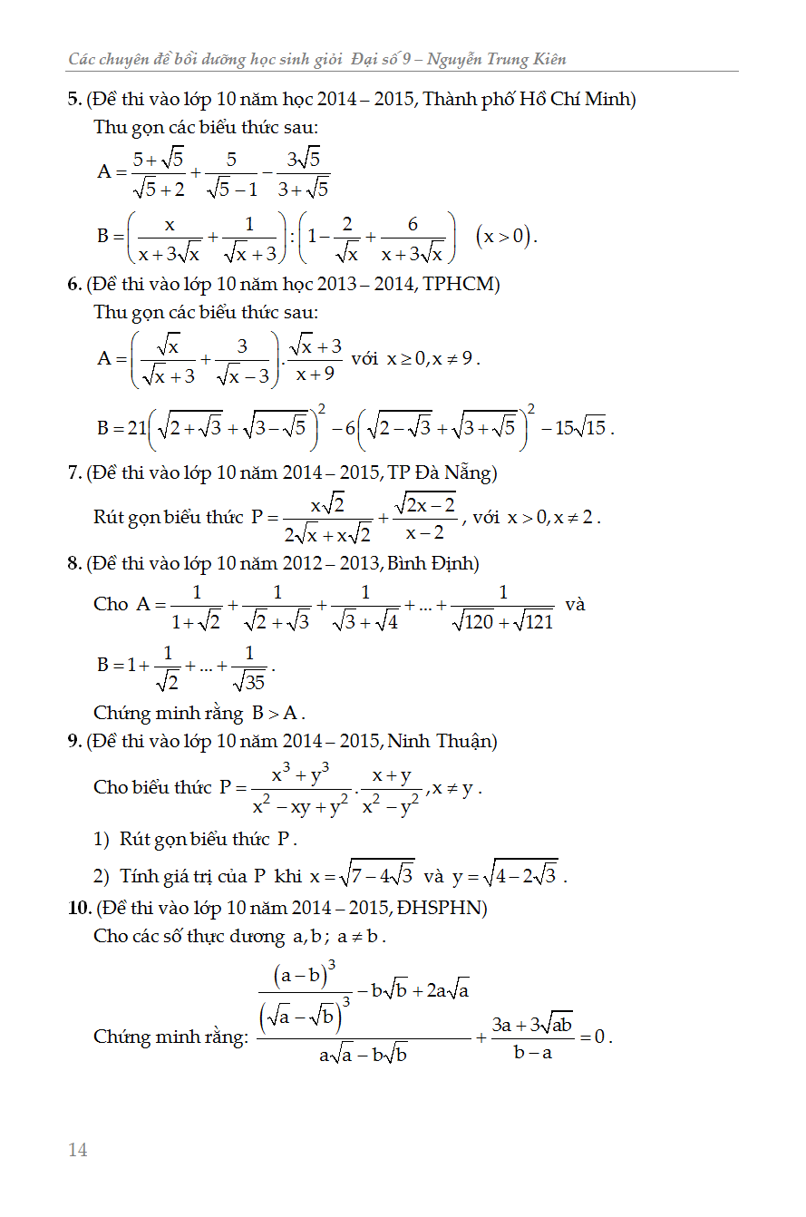
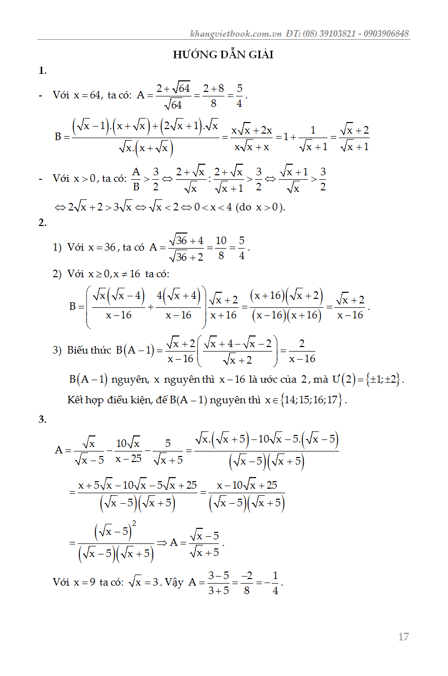
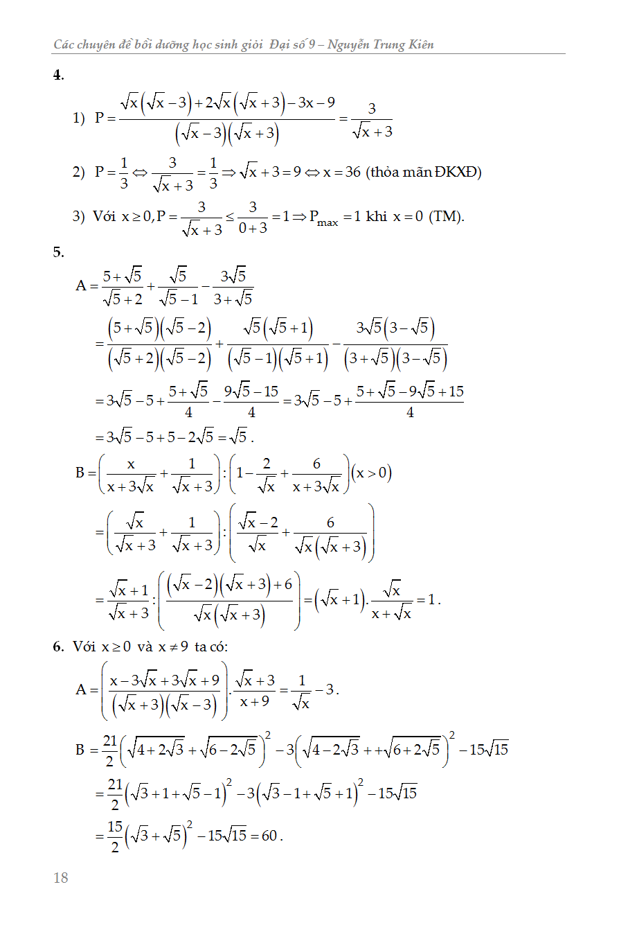
Các Chuyên Đề Bồi Dưỡng Học Sinh Giỏi Đại Số Lớp 9
Đại số là mảng kiến thức rất quan trọng trong toán học phổ thông.
Nhằm giúp các em học sinh lớp 9 ôn thi vào lớp 10 THPT cũng như các em học sinh chuyên Toán có một tài liệu mang tính hệ thống để ôn luyện, nâng cao kiến thức kỹ năng giải toán và đạt kết quả cao nhất trong các kỳ thi Học sinh giỏi, kỳ thi Tuyển sinh vào lớp 10 cũng như thi vào các lớp chuyên, tôi biên soạn cuốn: “Các chuyên đề bồi dưỡng học sinh giỏi đại số 9’’.
Nội dung cuốn sách được chia làm 9 chủ đề
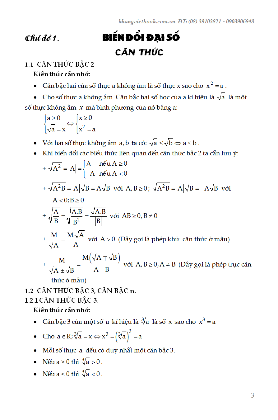
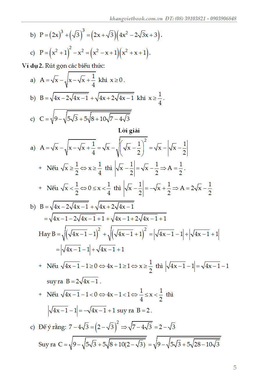
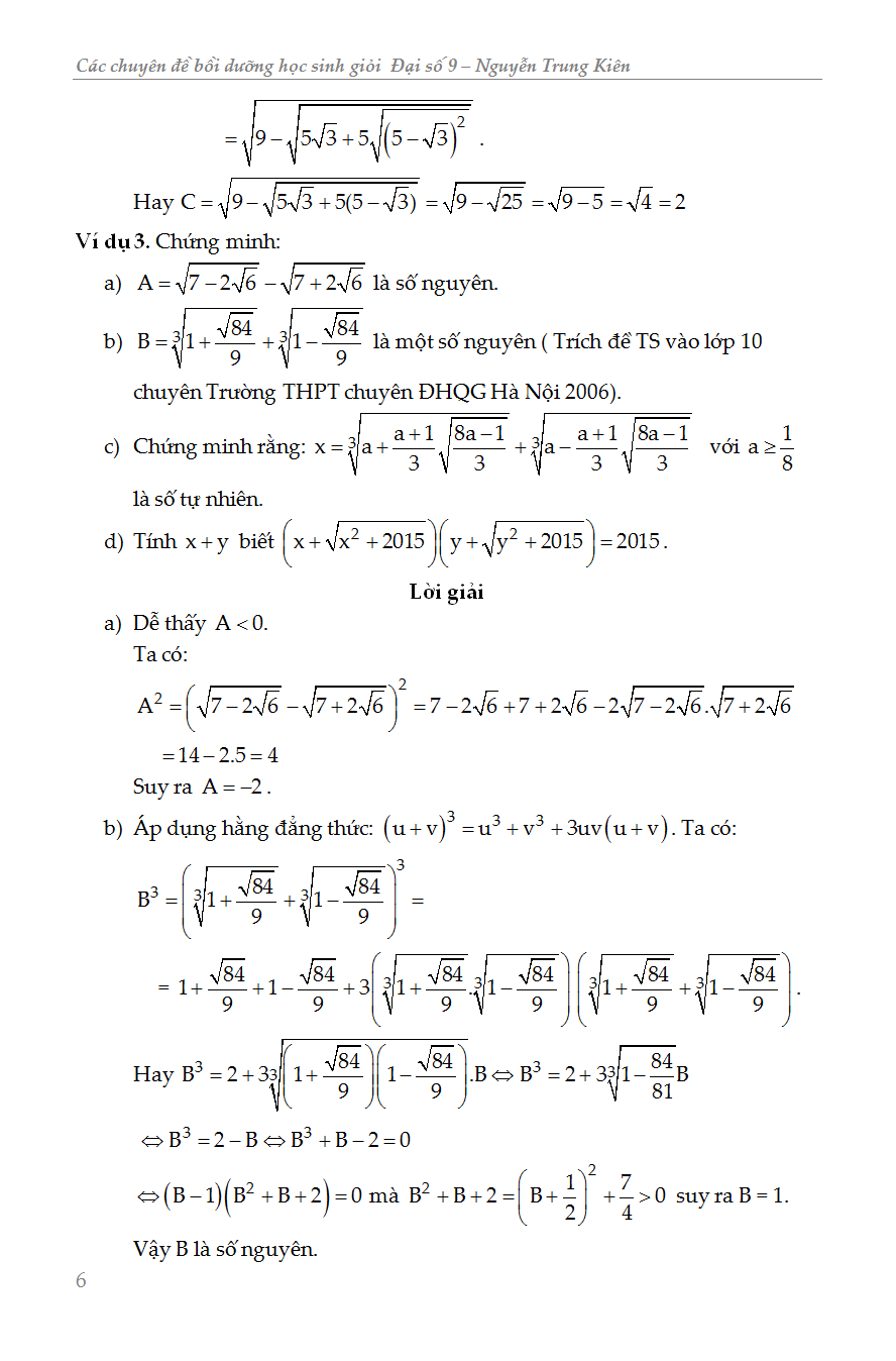
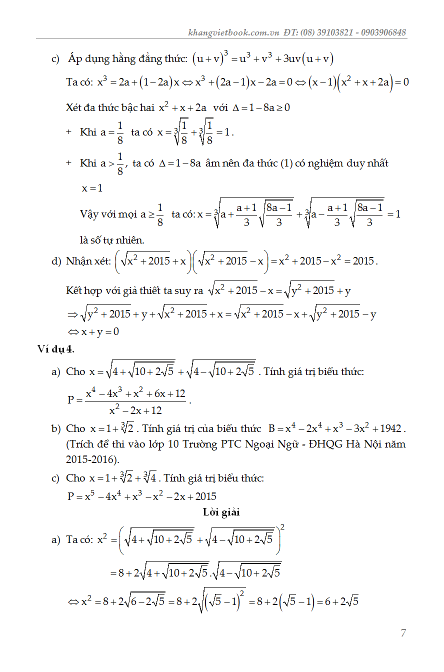
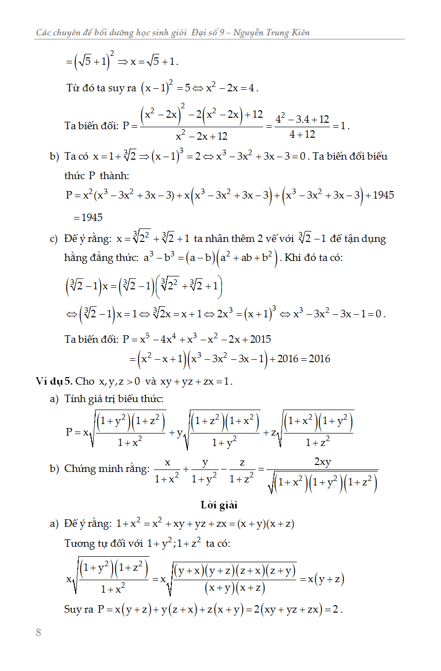
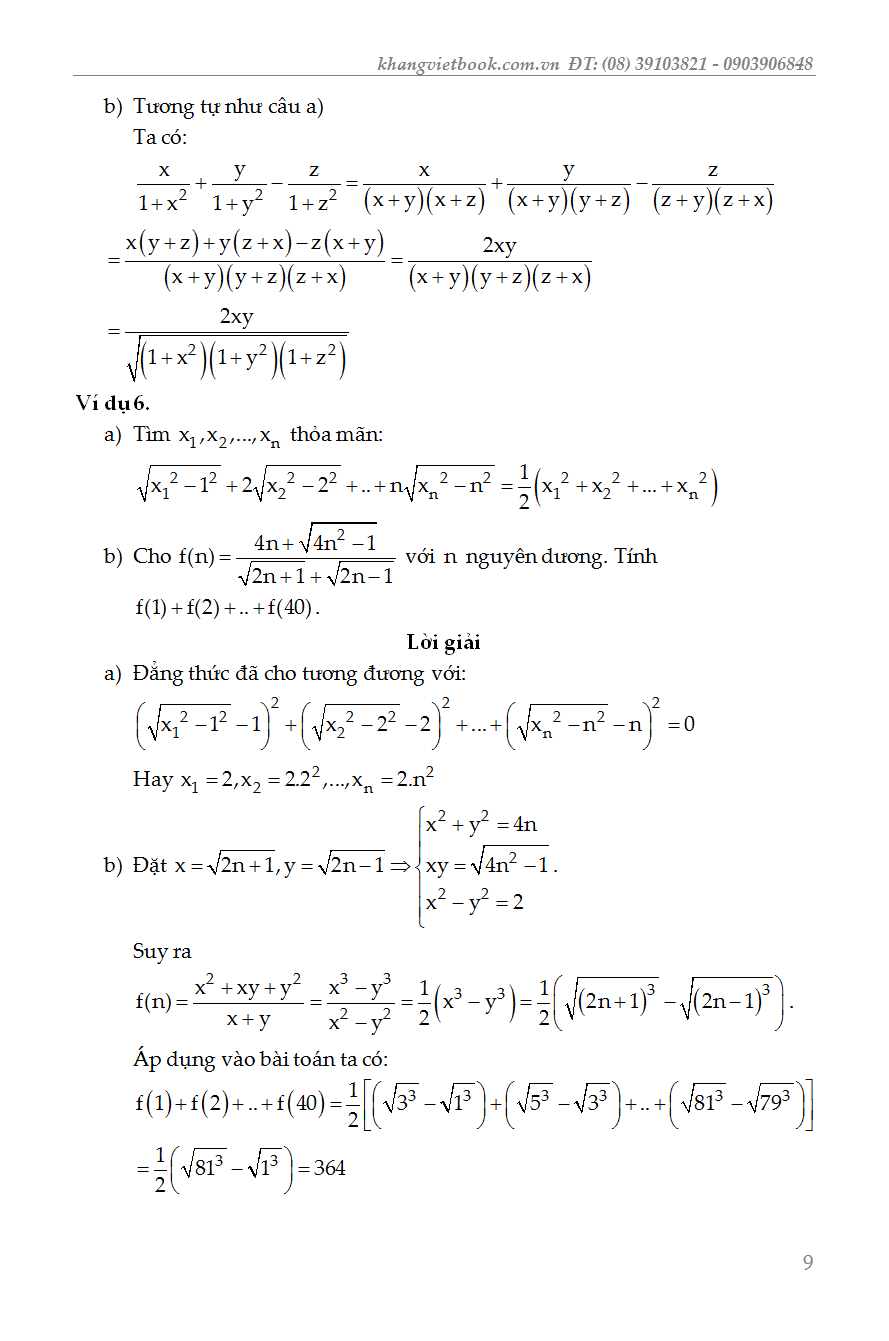
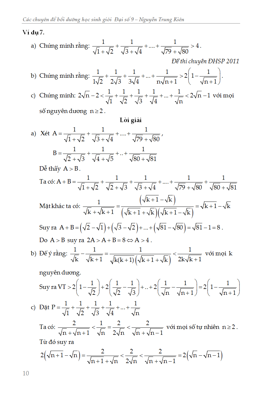
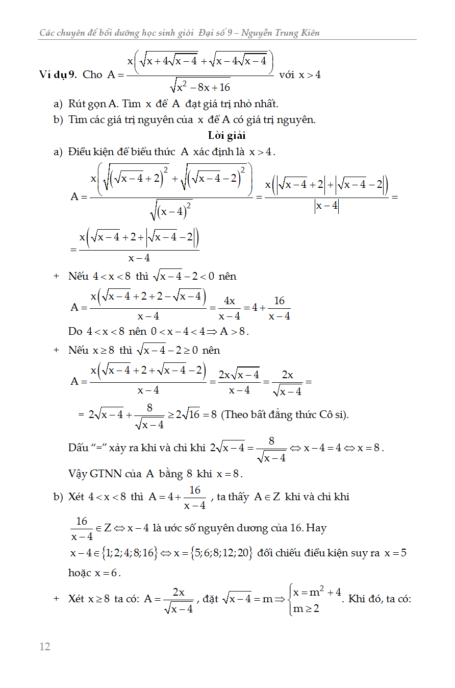
Chủ đề 1. Biến đổi đại số.
Chủ đề 2. Hàm số bậc nhất, Hàm số bậc 2
Chủ đề 3. Hệ phương trình bậc nhất hai ẩn.
Chủ đề 4. Giải bài toán bằng cách lập phương trình, hệ phương trình.
Chủ đề 5. Phương trình đại số.
Chủ đề 6. Phương trình vô tỷ
Chủ đề 7. Hệ phương trình.
Chủ đề 8. Bất đẳng thức.
Chủ đề 9. Các đề toán ôn tập tổng hợp.
Trong mỗi phần, tôi luôn cố gắng hệ thống phương pháp, phân tích, định hướng cách giải, cuối mỗi phần đều có bài tập rèn luyện để các em học sinh thử sức.
























