NHỮNG CON SỐ BIẾT NÓI - 71 câu chuyện phơi bày sự thật về thế giới chúng ta đang sống
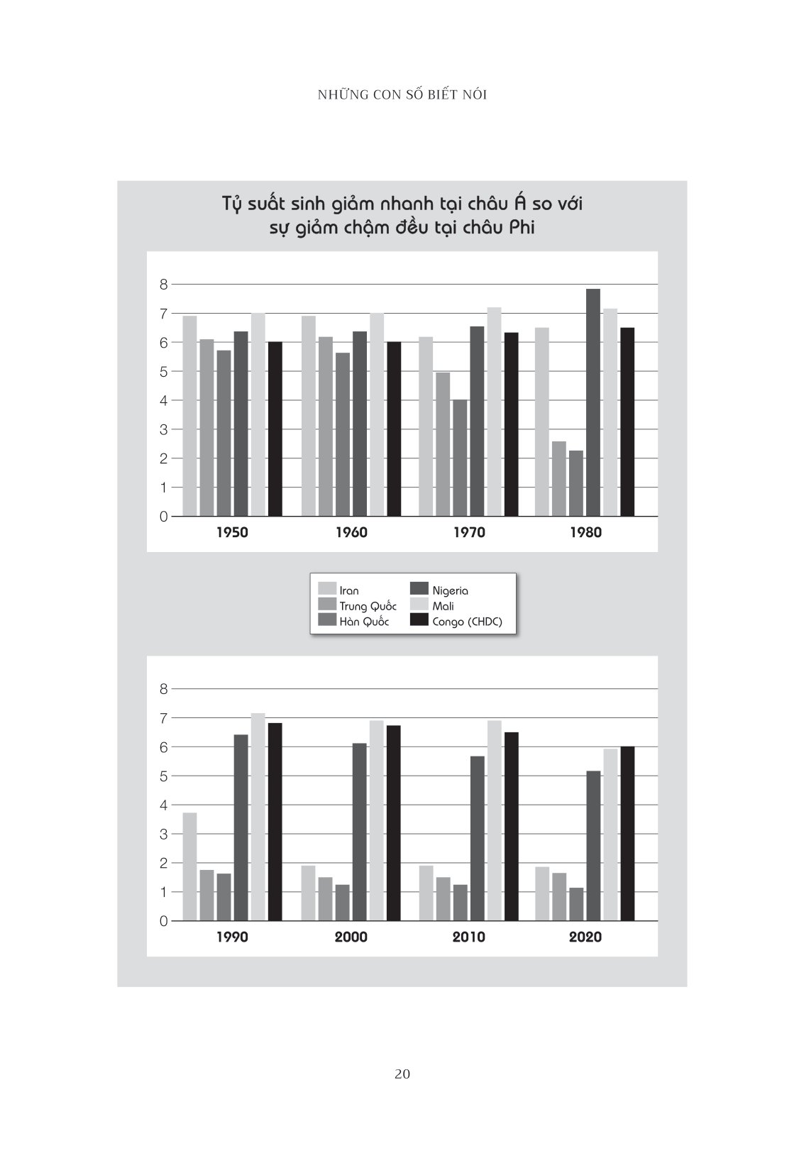
Từ quốc gia, con người cho đến nhiên liệu, thực phẩm, và hơn thế nữa… tất cả đều tạo ra tác động đến mái nhà chung của chúng ta trên Trái đất này. Trong Những con số biết nói, Giáo sư Vaclav Smil sẽ cùng bạn đọc đi vào một chuyến phiêu lưu qua những đồ thị và số liệu thống kê đáng ngạc nhiên để thách thức tư duy quen thuộc.
Trước những thông tin đầy bất ngờ và kỳ thú, chúng ta buộc phải nhận định rõ ràng và cởi mở hơn về những nhân tố trọng yếu của xã hội hiện đại như việc tiêm chủng, tương lai của xe điện, tiềm lực bỏ ngỏ của năng lượng hạt nhân, các lựa chọn dinh dưỡng đa dạng, cũng như viễn cảnh đáng lo ngại về môi trường đứng trước tất cả những yếu tố ấy.
Trên cả, cuốn sách cũng là lời hiệu triệu mạnh mẽ để chúng ta chất vấn những gì mình vẫn cho là đúng trong một xã hội toàn cầu phức tạp. Đúng là những con số biết nói đấy, nhưng chúng truyền đạt sự thật nào?




























