Phân Dạng Và Phương Pháp Giải Các Dạng Bài Tập Trắc Nghiệm Đại Số - Giải Tích 11
Cuốn sách Phân Dạng Và Phương Pháp Giải Các Dạng Bài Tập Trắc Nghiệm Toán Giải Tích 11 được biên soạn theo SGK lớp 11 hiện hành và hướng dẫn ôn thi THPT Quốc gia mới nhất của Bộ GD&ĐT. Mỗi chương sách gồm nhiều đơn vị kiến thức, mỗi mục sách trình bày các phần:
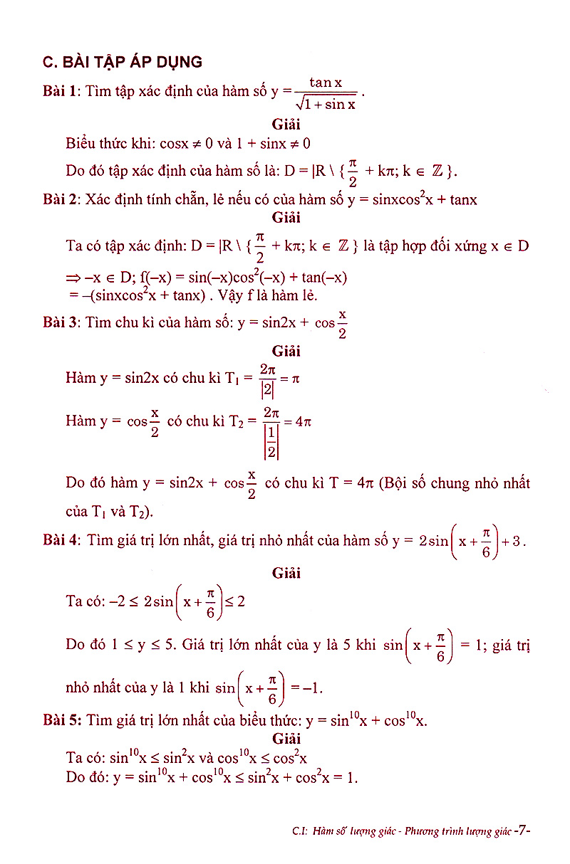
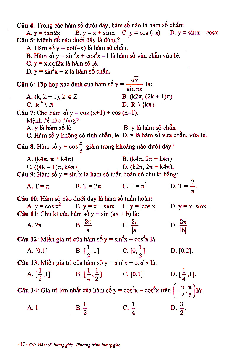
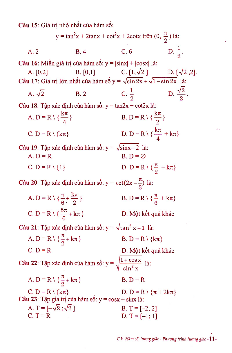
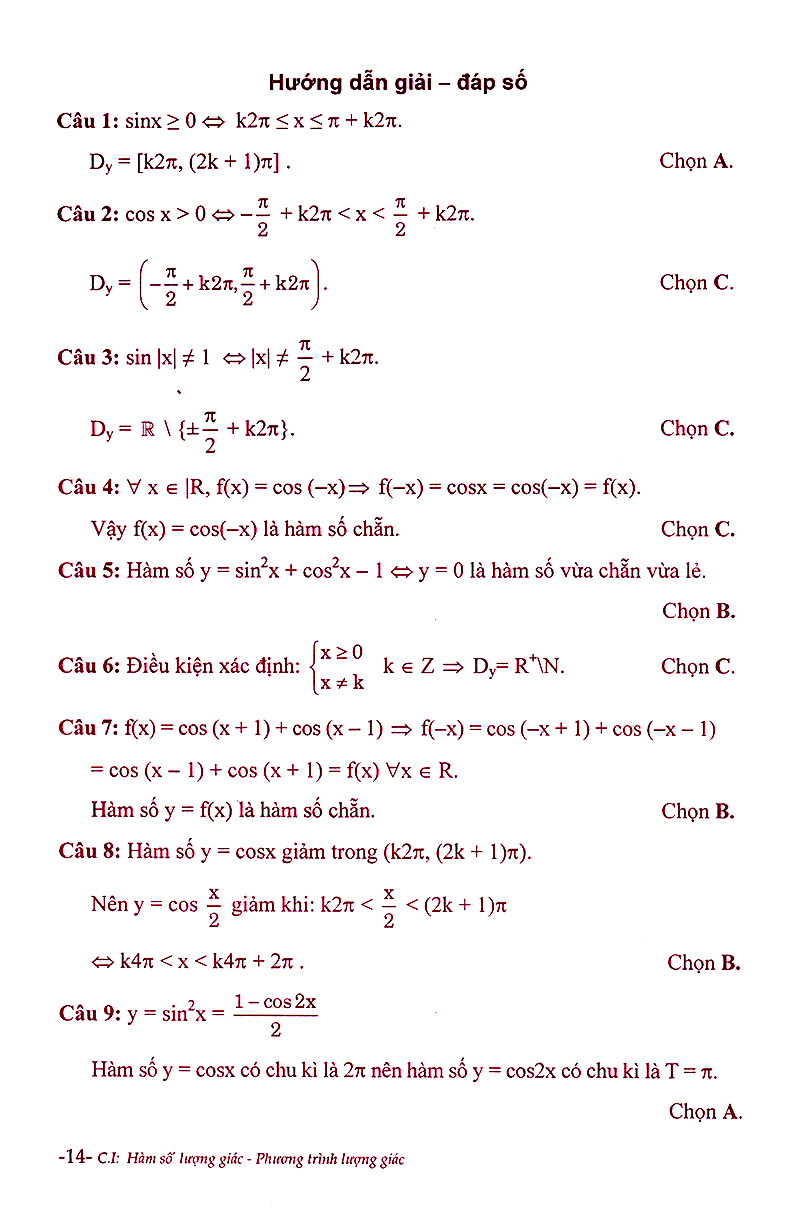
Trọng tâm kiến thức Các dạng câu hỏi trắc nghiệm: Phân dạng, phương pháp giải, các bài tập minh họa với lời giải chi tiết, các câu hỏi trắc nghiệm và phần hướng dẫn giải theo tinh thần trắc nghiệm Phần câu hỏi trắc nghiệm ôn cuối mỗi chương được sắp xếp ngẫu nhiên gồm các loại câu hỏi cơ bản và nâng cao để phân loại học sinhCác bài tập trình bày trong quyển sách này được tác giả chọn lọc kĩ lưỡng, có tính điển hình và khai thác tốt các góc cạnh của mỗi phần kiến thức. Với lời giải rõ ràng, dễ hiểu, các em học sinh sẽ có cơ hội tiếp cận và rèn luyện tốt các kĩ năng và phương pháp giải toán, đồng thời ôn tập các kiến thức đã được học qua các bài tập trắc nghiệm khách quan để chuẩn bị tốt cho các kì thi học kì, thi tốt nghiệp, tuyển sinh bằng phương pháp trắc nghiệm khách quan theo quy định của Bộ GD & ĐT.























