Bộ tài liệu luyện thi IELTS hữu ích
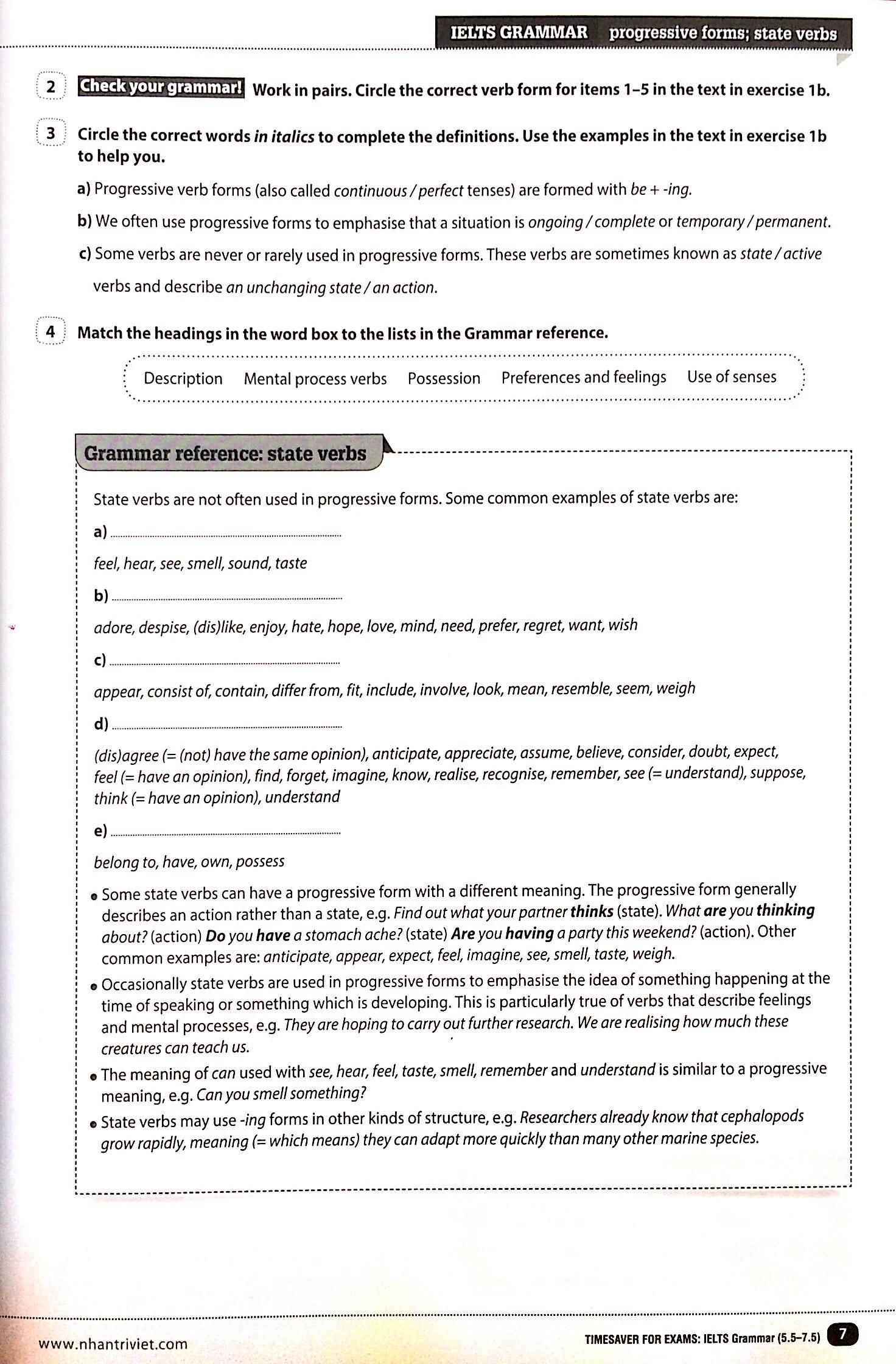
Sách cung cấp 20 bài học ngữ pháp dành cho học viên trình độ trên trung cấp và cao cấp cùng những thí sinh mong muốn đạt điểm 6.0 trở lên ở bài thi IELTS khối Học thuật (Academic) Sách sử dụng một số bài đọc trong các kỳ thi IELTS làm ví dụ điển hình, giúp học viên luyện tập các điểm ngữ pháp quan trọng như động từ khuyết, mạo từ, cụm phân từ, các thì… Hầu hết các chủ đề trong sách mang tính toàn cầu và phù hợp với giới trẻ ngày nay Tất cả các hoạt động đều được thiết kế nhằm trang bị cho học viên kiến thức ngữ pháp vững chắc đồng thời hỗ trợ bốn kỹ năng khi thi IELTS, chẳng hạn có khả năng đọc hiểu hay nghe hiểu tốt, nói và viết không những đúng ngữ pháp mà còn sử dụng được đa dạng cấu trúc câu. Mỗi bài học có một số mục Grammar tip giải thích nghĩa hoặc cách dùng một từ, cụm từ hay cấu trúc nào đó để người học lưu ý và tránh mắc những lỗi thường gặp khi thi Đây là tài liệu bổ sung lý tưởng cho các khóa học IELTSLEVEL: 5.5–7.5 (CEF levels: B2–C1)















