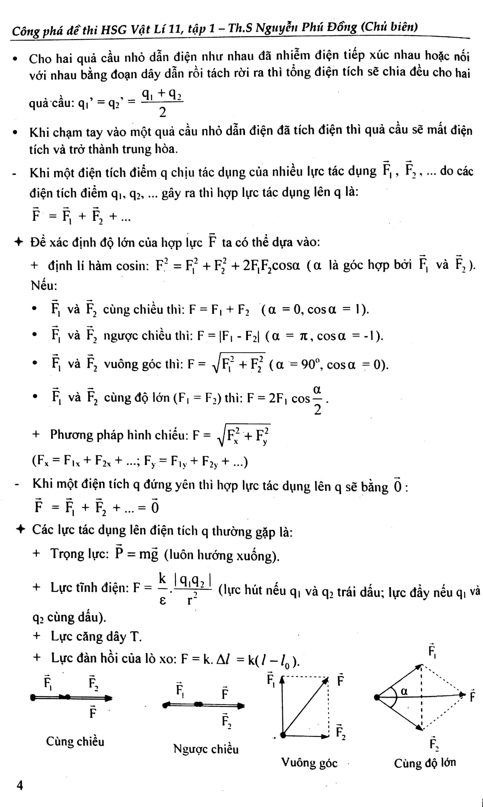
Cuốn sách được chia thành các phần lớn, trong mỗi phần gồm nhiều chuyên đề, mỗi chuyên đề là một nội dung kiến thức trọn vẹn. Mỗi chuyên đề gồm các phần:
A- Tóm tắt kiến thức: Phần này các tác giả trình bày một cách có hệ thống những kiến thức trọng tâm của chuyên đề từ cơ bản đến nâng cao trong đó chúng tôi chú trọng đào sâu những kiến thức nâng cao để làm cơ sở cho việc giải các bài tập của chuyên đề.
B- Những chú ý khi giải bài tập: Trong phần này các tác giả nêu lên những chú ý cần thiết về kiến thức - kĩ năng; phương pháp giải từng dạng bài tập cụ thể. Đó là những cơ sở quan trọng giúp định hướng và tránh những sai sót khi giải các bài tập của chuyên đề.
C- Các bài tập vận dụng: Hệ thống bài tập ở đây khá đa dạng, phong phú được sắp xếp từ dễ đến khó, từ đơn giản đến phức tạp và được giải khá chi tiết nên rất phù hợp với nhiều đối tượng bạn đọc.
Sau mỗi phần lớn là các Bài tập luyện tập tổng hợp, đây là những bài tập được chọn lọc có tính tổng hợp cao mà khi giải cần phải vận dụng nhiều kiến thức - kĩ năng và khả năng suy luận cao. Các bạn học sinh hãy tự giải để kiểm tra mức độ nắm vững và vận dụng kiến thức trước khi tham khảo lời giải.















